Recent Changes - Search:

Surveys and data


Instruments


Support to other department sections


Support Dr. Scient. thesis


Contribution to "Scientific infrastructure"


Obsolete, kept for reference


edit SideBar

Last update: December 13, 2025, at 11:35 AM
Version: pmwiki-2.3.38

SONOBUOYS


THE SSQ-57A SONOBUOY


Department of Earth Science uses SSQ-57A types sonobuoys, which are passive, omnidirectional types called LOFAR = Low Frequency Analysis and Recording.

Quoting from Military Analysis Network:

The AN/SSQ-57B Low Frequency Analysis and Recording (LOFAR) sonobuoy is an A-size, expendable, non-repairable, calibrated sonobuoy. It uses the AN/SSQ-41B platform, substituting a calibrated hydrophone for frequencies in the 10Hz to 20,000Hz range. The LOFAR sonobuoy provides omnidirectional passive acoustic signature data to the monitoring unit(s). The sonobuoy is calibrated and can be used to accurately measure ambient noise, and through post event analysis, provides Sound Pressure Level (SPL) measurements.

The LOFAR sonobuoy is an expendable, omnidirectional passive sonar unit. It consists of an omnidirectional hydrophone that descends through the bottom of the sonobuoy canister to a pre-selected depth. The LOFAR operates from one of 31 RF channels preset during manufacturing. The buoy can also be provided with EFS/99 RF channel capability. There is a selectable operating life of one, three, or eight hours and selectable operating depth of 90 or 400 feet.

The LOFAR, upon self-activation, operates in a passive mode at the preset life and depth. Upon reception of acoustic signals, the subsurface unit converts the pressure waves into amplified electronic signals. These signals are then sent to the surface unit where they are applied to an FM carrier for VHF transmission. The monitoring platform receives the signal for recording, processing, and analysis.

SONOBUOY RECEIVER AND RECORDING SYSTEM


The system comprises:

  • Antenna
  • Antenna cable
  • Radio receiver
  • Anti-alias filter
  • A/D converter and recording system

System delivered Nov. 2002 (also as PDF document).

ANTENNA


  • Mfr.: Lone Star Electronics Co., P.O. Box 401746 Garland, Texas 75040, USA
  • Model: LS 4220
  • S/N: 34114

ANTENNA CABLE


Parameter RG213/U H1000
Manufacturer Bedea Belden
OD [mm] 10.3 10.3
Impedance 50 ohm 50 ohm
Attenuation @ 100 MHz: 6.4 dB / 100m
@200 MHz: 9.5 dB / 100m
@ 500 MHz: 16.0 dB / 100m
@ 100 MHz: 3.9 dB / 100m
@ 144 MHz: 4.8 dB / 100m
@ 432 MHz: 8.5 dB / 100m
Supplier EILAG, Bergen part no.: 1099407
ELFA, part no.: 55-910-11
ELFA, part no. 55-914-25

RADIO RECEIVERS


Icom R-8500

  • Use MODE = FM, bandwidth 12 kHz.

Modified according to this diagram.

Icom IC-PCR1500

We purchased a sonobuoy radio receiver from Greeneridge Sciences, Inc.. It was a modified Icom IC-PCR1500.

Winradio

ANTI-ALIAS FILTER


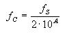
An anti-alias filter is needed to remove or reduce input signal frequency components that are above the Nyquist frequency (½ of the sampling frequency). If the A/D-converter has N number of bits, it's dynamic range R is then given by 20*log*2N dB = R dB. From a 'purist' view all frequency components above Nyquist should be attenuated by min. R dB, burying them below the noise floor.

The number of decades A between the filter cut-off frequency (-3dB) and the Nyquist frequency is given by:

where K = filter order (20 * K as a first order filter has 20 dB/decade slope).

The number of decades between two frequencies f1 and f2 is log10(f2/f1). Expressed in terms of Nyquist frequency (½ of sampling frequency fS) and filter cut-off frequency fC we have:

Rearranging:

E.g., a 16-bit A/D converter (N = 16), a fourth-order filter (K = 4) and a sampling frequency of 40 kHz (fS = 40000) yields fC = 1363 Hz. The implication is that a large part of the frequency bandwidth (up to ½ * fS ) suffers amplitude attenuation in order to satisfy the need for anti-alias attenuation.

The answer to this is oversampling, digital filtering and decimation to final sample rate ...

Design of a digital filter: Visit Tony Fisher's Interactive Digital Filter Design web page.

USING KROHN-HITE MOD. 3700 AS ANTI-ALIAS FILTER


Filter specifications.

A/D- AND RECORDING SYSTEM


Some options:

  • Use Geometrics GEODE
  • Use analog tape recorder and process data later, or digitizing system that records data. In either case, consider over-sampling, digital filtering and decimation to final sample rate in order to ease anti-alias filter requirements.
  • Use LinAcq system: Data storage on hard disk, in Seismic Unix (SU) format - a modified SEG-Y format where EBCDIC and binary headers are omitted.

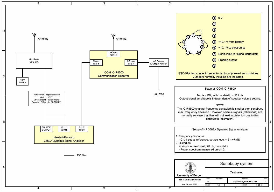
SYSTEM TEST


Setup


The following test setup was used:


Sonobouy test arrangement (also PDF version).

Frequency response


  • Sonobuoy used: SSO-57A
  • Receiver data:
    • Model: ICOM IC-R-8500
    • Mode = FM, BW = 12 KHz
    • Modified according to this diagram.
  • 3 dB bandwidth = 96 Hz, between 20 Hz and 116 Hz
  • Test signal amplitude fixed at 5 mV RMS. If larger, receiver channel bandwidth (12 kHz) will be exceeded, causing severe distortion.

Distortion


  • Sonobuoy used: SSO-57A
  • Receiver data:
    • Model: ICOM IC-R-8500
    • Mode = FM, BW = 12 kHz
    • Modified according to this diagram.
  • Test signal injected: 40 Hz, > 60 dB attenuation of any harmonic component, signal amplitude fixed at 5 mV RMS.

Conclusion: 1st harmonic at 80 Hz is attenuated by 43 dB, harmonics of higher order even more.

LINKS


Manufacturers


  • Sparton, DeLeon Springs, Florida, USA
  • Ultra Electronics SONAR & COMMUNICATION SYSTEMS
  • HERMES ELECTRONICS INC
  • Magnavox, Ft. Wayne, Indiana was acquired by Hughes, and later by Raytheon, and in '98 Raytheon sold the sonobuoy operation to Ultra Electronics.

Transcription


Military usage


GPS equipped Sonobuoys


Radio receivers / antenna systems


RF TEST EQUIPMENT


  • Marconi mod 2955 have once been tested, with good results. Here is the Operating Manual
  • Also evaluate Marconi mod. 2957B / D
Edit - History - Print - Search
Page last modified on November 29, 2024, at 09:14 AM
Electronics workshop
Department of Earth Science - University of Bergen
N O R W A Y